

Buku Fisika Statistik yang berbahasa Indonesia hingga saat ini jumlahnya masih terbatas, untuk itu penulis berusaha melengkapi kebutuhan akan buku tersebut dengan cara menerjemahkan buku yang pada bab-bab tertentu merupakan pokok bahasan Fisika Statistik.Contoh Soal Statistik Dan Jawaban
Minecraft version 1.8 download. Buku rujukan utama yang diterjemahkan ditulis oleh F.W. Sears & G.L. Salinger tahun:1975 yang berjudul: Thermodynamics, Kinetic Theory, and Statistical Thermodynamics yang diterbitkan oleh Addison-Wesley Company. Agar buku ini mudah digunakan oleh mahasiswa penulis melengkapi dengan contoh soal dan pembahasannya. Google play store apk free download.
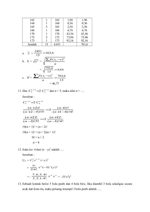
Contoh Soal Dan Pembahasan Statistika Kelas 8
Soal Dan Pembahasan Materi Statistika. 19 Des 2014 Tinggalkan komentar. By graceris201142045 in Pembelajaran Matematika Tag:Soal Dan Pembahasan Materi Statistika. Standar Kompetensi: Melakukan Pengolahan dan Penyajian Data; Kompetensi dasar: 3.1 Menentukan rata-rata, median, dan modus data tunggal serta penafsirannya.